Насколько L3 продуктивнее L2 — не по спецификациям, а в полевых условиях? Есть ли смысл платить больше за новую модель? А если мы уже используем L2 — стоит ли обновляться?
Если вы занимаетесь воздушным лазерным сканированием в 2026 году, в этих вопросах полезно разобраться. Для этого команда Aeromotus протестировала два поколения лидаров DJI в реалиях российской зимы. Делимся результатами.
Испытали L2 и L3 в равных условиях
Мы провели две серии тестовых полетов — во Владимирской области около Суздаля и в заповеднике «Красноярские столбы». Всего было 17 полетов, общая площадь — 18 квадратных километров.
Главной задачей были попарные тесты Zenmuse L2 и Zenmuse L3 на двух высотах — 120 и 200 метров. Обеспечили честные условия для оценки: одинаковые полетные задания и режим сканирования, примерно равная скорость.
Различался только один параметр — частота сканирования. У L2 она фиксированная — 240 кГц. У L3 можно выбрать один из нескольких вариантов — 100, 350, 1000 и 2000 кГц. Мы выбрали 350 кГц как наиболее близкий.
Облака точек обрабатывали в DJI Terra 5.1.1 от одной базовой станции. Не использовали дополнительные функции в Terra — оптимизацию облака точек, сглаживание. Ниже только сырые данные.
Плотность данных: у L3 выше в два-три раза
Выбрали для оценки несколько участков облака точек — на открытой местности и в роще. Для каждого участка отдельно оценили три зоны:
- над траекторией полета — под углом 90° к земле;
- на половине максимального угла сканирования;
- на перекрытии между соседними галсами.
L3 показал заметный прирост плотности: от 56% до 253% в зависимости от условий полета.
Это связано не только с увеличенной частотой сканирования, но и с большим числом отражений лазерного луча. DJI заявляет у L2 до 5 возвратов луча, у L3 — до 16. Подробнее об этом параметре — в нашем обзоре.
Полнота данных: L3 показывает стволы деревьев
Плотность данных — это количественная характеристика. Наряду с ней топографы используют качественную — полноту данных. Так описывают получаемый объем морфологической информации — о структуре растительности, форме зданий.
На попарных снимках ниже — облака точек с L2 и L3 с одинаковой шириной профиля. По ним видно, насколько полнее картина с L3: под густой кроной видны стволы деревьев. Это важно для проектов по лесной таксации.
И снова про отражения луча. На следующей паре снимков — тот же профиль, но точки окрашены по номеру возврата. Белые — первый возврат, оранжевые — второй, зеленые — третий и последующие.
У L2 мало оранжевых точек, а зеленых вовсе нет. L3 на том же участке зафиксировал гораздо больше возвратов.
Здесь сказались еще два фактора, позволяющие L3 «пробивать» листву:
- мощнее лазерный импульс: 1535 нм против 905 нм у L2;
- лазерное пятно в 5 раз меньше на сопоставимой высоте.
Шум облака: у L3 меньше в полтора раза
Мы замерили толщину облака точек на нескольких участках. На скриншотах ниже это параметр dy.
Затем посчитали среднее арифметическое. Такой метод всегда покажет небольшой шум, ведь рельеф неровный — при ширине профиля 0,5 м не избежать перепадов.
И все же разница очевидна. На высоте 120 метров L3 шумит на 2-3 см, L2 — больше чем на 8 см. На 200 метрах L3 выигрывает у предшественника на 36%.
Так выглядит совмещенный профиль.
Сходимость данных: у L3 лучше в шесть раз
В районах перекрытия шум выше. Это происходит из-за того, что соседние галсы накладываются друг на друга с люфтом. До конца победить эту ошибку пока не удалось, поэтому мы проверили, велика ли она у наших лидаров.
Снова измеряем толщину облака (dy). У L2 на разных участках точки с соседних галсов полностью расходятся. Это увеличивает толщину вдвое относительно стандартного шума. У L3 точки расходятся не дальше, чем на 15% от величины шума. И толщина облака почти не растет.
Сравним профили попарно. Данные с L2 трудно использовать без последующей оптимизации в DJI Terra. С L3 можно обойтись и без нее.
Точность облака: у DJI L3 лучше в полтора раза
Измерили планово-высотную точность. Для этого получили координаты семи точек на местности (опознаков) с помощью GNSS-приемника.
А затем сравнили их с данными о точках, полученными с лидара. Выяснили, что среднеквадратическое отклонение ошибок (RMSE) у L3 ниже: на 120 метрах на 63%, на 200 метрах на 46%.
Производительность: у DJI L3 выше вдвое
Насколько L3 эффективнее, если суммировать все характеристики? Начнем с «чистого» сравнения — фактической площади, сканируемой за равный отрезок времени. Тут разница в пользу нового лидара составляет примерно 30%.
Это результат увеличенного горизонтального угла сканирования — 80° вместо 70° у L2.
В реальности при расчете производительности нужно иметь в виду используемую платформу. L2 в основном летает на DJI Matrice 300 или Matrice 350. Тогда как L3 совместим только с новейшим дроном — Matrice 400. Так мы их и тестировали: M350+L2 и M400+L3.
За счет мощного аккумулятора M400 превосходит М350 по эффективному времени полета. В наших условиях оно составило 33 и 22 минуты соответственно. Если перевести фактически отсканированную площадь на теоретическую площадь за один вылет, то увидим, что на равных высотах производительность комплекта M400+L3 выше вдвое.
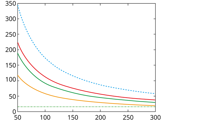
За счет высоты L3 производительнее в шесть раз
Но и это не все. Выбирая высоту полета, вы отталкиваетесь от задач миссии: какая нужна плотность данных, каковы допуски по ошибкам. Возьмем критерий плотности. У всех лидаров она падает с увеличением высоты, но L3 и здесь имеет преимущество. При одинаковой скорости и высоте сканирования L3 «бьет» примерно на треть плотнее, чем L2. На высоте 100 метров и скорости 15 м/с плотность составляет 175 и 114 точек на квадратный метр соответственно, на 150 метрах — 115 и 76 точек.
Значит, для достижения сопоставимой плотности на L3 вы можете увеличить высоту сканирования. Это даст скачок производительности. Сравните: летая на 200 метрах, вы добьетесь с L3 прироста производительности на 117%. Но если поднимете новый лидар на высоту 460 метров, разница составит уже 500%.
В этом главная прелесть L3: это лидар-система дальнего действия. Она работает там, куда c L2 вообще не поднимаются. Рекомендуемая рабочая высота L2 — до 200 метров.
Оцените облака точек одной и той же местности, полученные с L3 на высоте 230 и 460 метров.
L3, высота 230 м
L3, высота 460 м
На 230 метрах плотность составила 140 точек на квадратный метр, на 460 метрах — 23 точки. Разница есть, но повторим: все зависит от задачи. Для лесной таксации 23 точки на «квадрат» — мало, а для топографического плана, реконструкции рельефа — достаточно.
100 квадратных километров в день — реально?
DJI заявляет, что дневная производительность L3 составляет до 100 квадратных километров. Давайте проверим.
По нашим тестам максимальный охват с одного вылета составил 12,43 квадратных километра на высоте 460 метров. Время такого полета — 40 минут. Дальше все зависит от условий. Если вам благоприятствует погода и логистика, можно совершить до 10 вылетов за день. 124 квадратных километра — не фантастика!
Но даже если не бить рекорды, Zenmuse L3 оправдает себя с лихвой. Это радикальное обновление линейки лидаров DJI, не имеющее аналогов в своей ценовой категории.
DJI Zenmuse L3
Лазерный сканер, выпущенный в 2025 году. Первая высокоточная лидар-система дальнего действия от DJI. Позволяет вести сканирование с высоты 300-500 м, расширяя зону покрытия за один полёт.
DJI Matrice 400 + DJI Zenmuse L3 Combo
Готовый комплект для воздушного лазерного сканирования. Помимо лидара Zenmuse L3, включает промышленный квадрокоптер нового поколения Matrice 400, аккумулятор TB100 и зарядную станцию BS100.
Aeromotus подберет оборудование для лазерного сканирования под ваши задачи. Мы обеспечим внедрение техники в процессы компании, настроим ПО и обучим ваших сотрудников. Свяжитесь с нами, чтобы получить консультацию. Это бесплатно.
Приложение. Результаты тестов в текстовом формате
| DJI Zenmuse L2 | DJI Zenmuse L3 | |
| Высота 120 метров | ||
| Режим сканирования | повторяющийся | повторяющийся |
| Частота (кГц) | 240 | 350 |
| Скорость (м/с) | 10,5 | 10,72 |
| Высота 200 метров | ||
| Режим сканирования | повторяющийся | повторяющийся |
| Частота (кГц) | 240 | 350 |
| Скорость (м/с) | 10,18 | 10,35 |
| DJI Zenmuse L2 | DJI Zenmuse L3 | |
| Высота 120 метров, открытая местность | ||
| 0° | 80 | 112 |
| ½ угла сканирования | 78 | 103 |
| Район перекрытия | 160 | 330 |
| Среднее значение | 106 | 184 |
| Разница среднего значения | +73% | |
| Высота 120 метров, растительность | ||
| 0° | 185 | 300 |
| ½ угла сканирования | 172 | 350 |
| Район перекрытия | 272 | 600 |
| Среднее значение | 210 | 501 |
| Разница среднего значения | +139% | |
| Высота 200 метров, открытая местность | ||
| 0° | 48 | 68 |
| ½ угла сканирования | 46 | 61 |
| Район перекрытия | 96 | 167 |
| Среднее значение | 63 | 99 |
| Разница среднего значения | +56% | |
| Высота 200 метров, растительность | ||
| 0° | 59 | 168 |
| ½ угла сканирования | 54 | 192 |
| Район перекрытия | 90 | 356 |
| Среднее значение | 68 | 239 |
| Разница среднего значения | +253% |
| DJI Zenmuse L2 | DJI Zenmuse L3 | |
| Высота 120 метров | ||
| Участок #1 | 0,077 | 0,04 |
| Участок #2 | 0,036 | 0,103 |
| Участок #3 | 0,089 | 0,051 |
| Участок #4 | 0,151 | 0,033 |
| Среднее значение | 0,088 | 0,056 |
| Разница среднего значения | -36% | |
| Высота 200 метров | ||
| Участок #1 | 0,017 | 0,02 |
| Участок #2 | 0,134 | 0,023 |
| Участок #3 | 0,043 | 0,037 |
| Участок #4 | 0,051 | 0,02 |
| Среднее значение | 0,086 | 0,025 |
| Разница среднего значения | -71% |
| DJI Zenmuse L2 | DJI Zenmuse L3 | |
| Высота 120 метров | ||
| Точка #1 | -0,11 | -0,038 |
| Точка #2 | -0,094 | -0,061 |
| Точка #3 | -0,058 | -0,004 |
| Точка #4 | -0,074 | 0,01 |
| Точка #5 | -0,077 | -0,031 |
| Точка #6 | -0,061 | -0,013 |
| Точка #7 | -0,084 | 0,006 |
| RMSE (Среднеквадратическое отклонение ошибок) | 0,081 | 0,03 |
| Разница среднего значения | -63% | |
| Высота 200 метров | ||
| Точка #1 | -0,049 | -0,036 |
| Точка #2 | -0,075 | -0,048 |
| Точка #3 | -0,044 | -0,009 |
| Точка #4 | -0,019 | 0,028 |
| Точка #5 | -0,045 | -0,021 |
| Точка #6 | -0,041 | 0,005 |
| Точка #7 | -0,058 | 0,018 |
| RMSE (Среднеквадратическое отклонение ошибок) | 0,05 | 0,027 |
| Разница среднего значения | -46% |
| DJI Zenmuse L2 | DJI Zenmuse L3 | |
| Высота 120 метров | ||
| Время сбора данных (мин.) | 10,67 | 8,83 |
| Площадь сканирования (кв. км) | 0,66 | 0,77 |
| Площадь за 1 мин. (кв. км) | 0,062 | 0,086 |
| Разница за 1 мин. | +28% | |
| Высота 200 метров | ||
| Время сбора данных (мин.) | 6,17 | 4,85 |
| Площадь сканирования (кв. км) | 0,58 | 0,66 |
| Площадь за 1 мин. (кв. км) | 0,094 | 0,136 |
| Разница за 1 мин. | +31% |
| DJI Matrice 350 + DJI Zenmuse L2 | DJI Matrice 400 + DJI Zenmuse L3 | |
| Высота 120 метров | ||
| Эффективное время полета (мин.) | 22 | 33 |
| Расчетная максимальная площадь сканирования (кв. км) | 1,36 | 2,84 |
| Разница | +109% | |
| Высота 200 метров | ||
| Эффективное время полета (мин.) | 22 | 33 |
| Расчетная максимальная площадь сканирования (кв. км) | 2,07 | 4,49 |
| Разница | +117% |
